技術基礎知識 『温度校正の手順』
赤外線カメラで精度の高い温度計測を行う場合は、精確な温度校正データが必要であり赤外線カメラメーカから供給される校正データを使うことが多いですが、ユーザ自身で行えるようになっている場合もあります。今回は改めてその温度校正手順について考えてみます。赤外線カメラは量子型(検知器にCCDやCMOSイメージセンサと同じく光電効果を用いるタイプを使用。暗電流を低減するために検知器の冷却機構が付いている。)と熱型(ボロメータという熱型の検知器を使用。非冷却)の2つのタイプに分けられます。温度校正に関する基本的な考え方は同じですが、熱型は周囲温度の変化によりセンサーの温度が変わるので精確な温度を求めるために間欠的な補正を行う必要があり、この点も含めて熱型・非冷却タイプの温度校正・温度計測ついて最後に補足説明します。
精確な温度計測のためには放射率などの物理的な不確定性や環境に起因する反射、カメラ温度などの誤差要因を考慮しなければなりません。温度校正は赤外線カメラが検出する被写体からの熱輻射パワーあるいは輝度値(例えば14bitデータ)と温度とを紐付けする作業で、この紐付けが可能なことはプランクの黒体放射の式から保証されています。
具体的には別の温度センサーで保証された黒体炉の温度をカメラに見せて、14bit輝度データと温度との関係を表わす温度校正データにあたる“検量線”を作ることに相当します。 温度校正により一旦この検量線が得られれば、それを赤外線カメラに組み込むことで温度計測が可能になります。基本的な手順は以下のようになります。
■ 手順1
特定の赤外線カメラでターゲットの計測温度レンジが与えられた場合(e.g. 50~200℃)、電気的な14bitの出力範囲に入るように適切な露光時間を決定します。(下図参照。必要に応じてターゲットの計測温度レンジを分割し、それぞれで露光時間を決めます。)

この話は物理量(この場合は温度)をデジタル量(この場合は14bit=0~16383=2^14-1)に変換する時の比率に関係しています。物理量の少しの変化でも敏感に検知できるようなデジタル量との比率であれば感度が高い(ルール1)と言えます。また、同じデジタル量で出来るだけ広い範囲を表すことができると良いですが(ルール2)、両者は競合します。
以下は分かり易いように、ターゲット温度レンジ50~150℃をデジタル量100で変換するサンプルです。
Aのケース: 100で温度レンジがターゲットの半分しか表されない。
デジタル量1に対応する温度変化は50℃=>100に対応。デジタル量1=0.5℃ カバーできる範囲 50℃
Bのケース: 100で温度レンジがデジタル量100に対応。
デジタル量1に対応する温度変化は100℃=>100に対応。デジタル量1=1℃ カバーできる範囲 100℃
Cのケース: デジタル量50が温度レンジ100℃に対応。
デジタル量1に対応する温度変化は100℃=>50に対応。デジタル量1=2℃ カバーできる範囲 100℃
【まとめ】
| モデル | 分解能 | カバーできるレンジ | 評価 | ||
|---|---|---|---|---|---|
| ルール1 | ルール2 | 総合 | |||
| A | 0.5℃/デジタル量1 | 50℃ | ◎ | × | × |
| B | 1℃/デジタル量1 | 100℃ | ○ | ○ | ○ |
| C | 2℃/デジタル量1 | 100℃ | △ | ○ | △ |
Aは、ターゲットレンジをカバーできないので ×
Cは、ターゲットレンジをカバーできるがBより敏感でないので △
Bは、ターゲットレンジをカバーでき、分解能も最大になるので ○
■ 手順2
赤外線カメラに対してNUC (Non-Uniformity Correction)を行います。
検知器はFPA(Focal Plane Array)と呼ばれる構造をしており、矩形の画素(ピクセル)が縦横に規則正しく配列されています。各画素の出力は被写体の輝度(明るさ)に対してリニアに変わりますが、それぞれの特性が異なるので直線のゲインとオフセットを調整して、同じ輝度に対して同じ出力が得られるような変換をして用います。
具体的にはレンズの前に一様な明るさの被写体を置き、検知器全体に同じ光量が落ちるようにします。この時の各ピクセルからの出力が同じになるようにそれぞれのゲインとオフセットを補正します。

ターゲットの温度レンジに対応する14bit出力範囲を三等分し中間の小範囲の両端に相当する2つの基準温度の一様な明るさの被写体でNUCを行いこのNUCデータをカメラに組み込みます。(下図参照)
NUC後のすべてのピクセルの特性は同じになり、この状態で温度校正を行います。また、その後温度計測を行う場合は必ずこの特定NUCと温度校正(検量線)を組み合わせて使用します。

■ 手順3
黒体炉を用いてターゲット温度レンジ中の複数の測定点で輝度値(14bitデータ)と温度を計測し(標準的には10点程度。)、温度校正を作成します。(下図参照)作成した温度校正について、プランクの式から計算した赤外線パワーと14bitカウント値のグラフを作成し、リニアな関係にあることを確認することで温度校正の妥当性をチェックします。

こうして作成した温度校正を特定の赤外線カメラに組み込み、対応するNUCをロードすればこのターゲットレンジでの温度計測が可能になります。なお、温度校正と温度計測は表裏の関係にあり、できるだけ温度校正を行った時と同じ条件で温度計測を行うのが温度精度上有利であり、これを損なう条件が多いほど温度精度は悪くなると考えるべきです。
(e.g. 同一であることが必須の条件:カメラそのもの/レンズ&フィルター/露光時間/NUC、同一であることが望ましい条件:フレームレート/Windowing/距離)なお、図に示すように輝度値の電気的なノイズを温度誤差に変換したものをNETD (Noise Equivalent Temperature Difference)というスペックで表わしますが、これはこの赤外線カメラで検出可能な最小温度差あるいは温度分解能になります。(e.g.50mK 上図では実際よりも誇張されています。)
■ 熱型赤外線カメラでの温度校正および間欠的補正
熱型赤外線カメラは非冷却で使うので周囲温度の変化に対して検知器やカメラ筐体の温度が変わります。この結果、検知器の特性や筐体から検知器に入射する熱輻射パワーが変化するのでこのままだと計測温度誤差が生じます。ここではフリア社のLepton赤外線カメラで行われている補正方法をご紹介します。(以下に登場する式やチャートは、FLIR Lepton Radiometry Application Note (102-PS245-100-01 Rev 100)からの抜粋。)

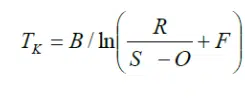
Leptonで用いられている温度校正(検量線)はプランクの式をベースとした以下の式で表されます。

ここで、 Tk : 被写体の温度(単位ケルビン)
S : 14bit 出力輝度値(これは黒体炉を見た時の値だが、実際の温度計測に際しては放射率や背景温度などが影響する。Sはそうした要因の補正後の値の時に精確な温度が求められる。)
RBFO : 手順3で得られた検量線を上記の式でフィッティングした時の係数。
実際に都度この式から計算するのは実際的でないのでたとえばルックアップテーブルなどにしておく。
手順2の説明のように各ピクセルの特性バラツキはNUCで補正されますが、温度の変化等により特性が変わった場合は再度NUCを行う必要があります。上で見たケースではゲイン(直線の傾き)およびオフセット(直線のずれ)の両方を調整しましたが、簡易的にはオフセットのみの調整を行うことも可能でこの場合は特定の温度の一様な被写体をカメラに見せて行います。(手順2のNUCを2点NUC、こちらの方法を1点NUCあるいはフリア社の言い方ですとFFC(Flat Field Correction) という言い方をします。)
Leptonには内蔵シャッターが付いており、撮影時は開放されていますが、これを閉じると検知器は一様な温度の被写体で覆われるのでこの仕掛けを用いてFFCを間欠的に行うようになっています。筐体には温度センサーが付いておりシャッタの温度と同じと考えると検知器は既知の温度の被写体を見ているので上記の検量線で得られる温度との差異があればこの仕掛けで温度的な補正をすることができます。
具体的には14bit輝度値から所定量の温度的なオフセット調整を行い、これを新たなSとして温度を求めるようになっています。(14bit輝度値と温度との関係を表わす検量線自体は変わらない。)
この仕掛けの効果は端的に次のようになります。
こうした温度的なオフセット調整を行わないと検量線は以下のように同じ被写体でもカメラの温度に依存した計測温度を示します。

FFCによりピクセル間のオフセット補正とともに温度的なオフセット調整を行った場合は、計測温度はカメラの筐体温度に依存せず定値を示します。

温度校正に関するご要望ご質問等ございましたら、お気軽にお問合せ下さい。
この記事の監修者
コーンズテクノロジー編集部
コーンズテクノロジーでは先進的な製品・技術を日本産業界へ紹介する技術専門商社として、通信計測・自動車・防衛セキュリティ・電子機器装置・航空宇宙・産業機械といった技術分野のお役立ち情報を紹介しています。