赤外線カメラの初歩
このエリアに目次が生成されます
はじめに
過去には真空管を用いて作られていた赤外線カメラも、近年はCCDやCMOSに代表される固体撮像素子が用いられるようになり、色々な分野で目にする事が増えてきています。特に昨今ではテロ対策用としての防犯カメラや、暗視カメラ、再生可能エネルギーとして注目されている太陽パネルの欠陥検出用としての温度計測用カメラなどその使用に注目を集めております。
(※ 当社取り扱いカメラのラインナップが一目で分かる『サーモグラフィ/特殊用途カメラ』特集ページは、こちらをご覧ください)
“赤外線カメラ”はその名の通り、赤外線を見るカメラになります。赤外線は人間の眼に見える波長領域(可視領域)よりも波長が長く、一般には1µm弱から1mm程度の波長領域とされています(図1)。

図1. 電磁波のスペクトル分布
赤外線の波長を更に、近赤外(0.75~3µm)、中赤外(3~6µm)、遠赤外(6~15µm)と細かく分ける事ができますが、赤外線自体は目に見えないため、その用途に合わせて適切な赤外線カメラを使用するためにも、その性能・仕様を十分に理解する必要があります。当社はフリアー システムズ社(米/仏)製の赤外線カメラの輸入販売をしており、様々な用途向けのカメラを扱っています。今回は特にR&D用として使われることが多い同社SCシリーズの中のモデルを例にとって赤外線カメラのスペックや仕様について解説をします。

フリアー システムズ社仕様書
赤外線カメラの構造
赤外線カメラの内部には赤外線を検出する“センサー”があります。この“センサー”はデジカメやデジタルビデオカメラに使われているイメージセンサと同じ作りになっており、画素(ピクセル)と呼ばれる小さな受光エレメントが縦横に規則正しく配列した構造をしています。この仕様は、“フリアー システムズ社仕様書”にある画像性能の「ピクセルピッチ」や「解像度」から確認することができます。
仕様書上にあるスペクトル波長はセンサーが感度を持つ波長領域を示しており、センサーとして「どの材料を使用するか」によって、検出する赤外線の領域を決めることができます。例えば、InSb (インジウム・アンチモン)を使用すると、1.5~5.1µmの領域の赤外線を検出することができます。

図2-1. 赤外線センサー受光面の例
一般的なディジタルカメラと同様に、“赤外線カメラ”にもレンズを取り付ける必要があり、対象物の大きさなどに応じて視野FOV (Field Of View)やどれくらい細かく見ることができるかという瞬時視野 IFOV (Instantaneous Filed Of View)を考慮して使用するレンズを考える必要があります。

図2-2. カメラの視野
近接撮影を行うマクロレンズを使う場合、“フリアー システムズ社仕様書”に例示されているレンズの中からClose up と書かれたレンズを使用する必要があります。たとえば、Close up x 3 — 3.2 x 2.6mmレンズを使用した場合、被写体を3倍にした画像を取得する事ができます。
赤外線カメラでの温度計測
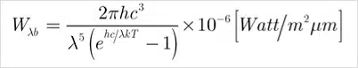
赤外線カメラは、物体表面から放出される熱放射(赤外線)を検出することで温度計測を行います。この時に用いられるのが次のプランクの法則の式であり、これから導き出される黒体放射スペクトルです(図3)。

プランクの法則の式
ここでは、
Wλb = 波長λにおける黒体の放射スペクトル強度強度
c = 真空中の光速度 (3 x 108 m/s)
h = プランク定数 (6.6 x 10−34 J·s)
k = ボルツマン定数 (1.4 x 10−23 J / K)
T = 絶対温度
λ = 波長 (µm)

図3. 黒体放射スペクトル(100 °K~1,000°K 半対数目盛)
熱放射は物体を構成する原子や分子などの振動による電磁波の放出現象であり、物体の表面温度を反映しています。“黒体”はすべての周波数の電磁波を吸収するという理想的な物体ですが、この時パワースペクトルは温度のみに依存します。この熱放射は光と同じ電磁波なので、デジカメが被写体の光学的な像を映すように、赤外線カメラはこの熱放射の像を映すことがきます。
赤外線カメラは被写体表面の赤外線放射輝度分布をセンサー受光面に写して、それを温度分布に変換しています。輝度が倍になると取り込まれる放射エネルギー量も倍になり、センサーから出力される信号電圧も倍になります。前述したInSbによるセンサーでは、シリコンのイメージセンサと同様に半導体内で起こる光電効果を利用して、この放射エネルギーを電子に変換し、蓄積して電気信号を生成しています。この事情は、各ピクセルに小さなバケツがあり、そこに蛇口から水(放射エネルギー)を溜め込むアナロジーを思い浮かべてください。カメラにはシャッタースピードが設定できるようになっており、照度に合わせて調整し適正な露光量を取り込むというのは、すべてをメカで動かすフィルムカメラを使い慣れた向きにはお馴染みのことですが、最新の赤外線カメラにも同様の調整が必要です。
赤外線カメラでの温度計測における注意点
測定対象となる温度仕様は、“フリアー システムズ社仕様書”にある温度機能を見ることで確認できますが、より確実な温度計測を実施するために、使用上でいくつかの注意が必要になります。
- 4-1. レンズの選定
測定にマクロレンズを使用した場合、マクロレンズの焦点深度は浅く、また拡大しているために十分な熱放射が得られない場合があります。こうしたケースではピント合わせに補助光源を一時的に用いることも多いです。なお、マクロレンズは近接して撮影するため、被写体が高温の場合は、レンズあるいはカメラ内部の温度が上がり、そうした部分からの熱放射が外乱として温度計測に影響することがあります。そのような場合はWD (ワーキングディスタンス) の長いレンズを用いる事で対応できます。
露光時間(シャッタースピード)とフレームレート
赤外線カメラは被写体表面の赤外線放射輝度分布をセンサー受光面に写して、それを温度分布に変換しています。輝度が倍になると取り込まれる放射エネルギー量も倍になり、センサーから出力される信号電圧も倍になります。前述したInSbによるセンサーでは、シリコンのイメージセンサと同様に半導体内で起こる光電効果を利用して、この放射エネルギーを電子に変換し、蓄積して電気信号を生成しています。この事情は、各ピクセルに小さなバケツがあり、そこに蛇口から水(放射エネルギー)を溜め込むアナロジーを思い浮かべてください。カメラにはシャッタースピードが設定できるようになっており、照度に合わせて調整し適正な露光量を取り込むというのは、すべてをメカで動かすフィルムカメラを使い慣れた向きにはお馴染みのことですが、最新の赤外線カメラにも同様の調整が必要です。
バケツのアナロジーを使って説明すると、最初に説明した線型関係が成り立つのは、水がバケツの3分目から7分目程度の間で推移している場合で、底に近い部分および縁に近い所はこうした関係が成り立たちません。後に述べる理由(5-3 温度較正とNUC)で、バケツを用いて精密に水量(放射エネルギー量)を計るためには、この範囲で計測をまかなう必要があります。温度との関係で言うと被写体が高温の場合、輝度が高くなり、単時間当たりに取り込む放射エネルギーの量は高くなります(蛇口からの水流が強い)。このため、シャッター時間を短くしてバケツの3分目から7分目までに水が来るようにして計測します。低温の場合(蛇口からの水流が弱い)、逆にシャッター時間を長くして同様に3分目から7分目までに水が来るようにして計測します。
このように計測温度範囲に対応する適正な露光時間あるいはシャッタースピードが存在するので、この点を考慮した設定が必要です。フリアシステムズ製の赤外線カメラは、複数の露光時間(従って、複数の温度レンジ)で連続撮影を行い、それらを合成して1枚の画像として出力する機能を持っています。(マルチIT機能と呼ばれる。)この機能を用いれば、同じシーンの中に異なる温度レンジに対応するエリアが同居していたり、時間的に温度変化が大きかったりする過渡現象も容易に捉えられます。(可視カメラで、長短2つの露光時間で撮影した画像から、白飛びや黒つぶれのないHDR(=High Dynamic Range)画像を合成するテクニックと類似の機能です。)
フレームレートは1秒間に撮影するコマ数のことであり、単位はHzあるいはfps (frames per second)で表わされます。これは露光時間と関係があります(図4-2-1)。露光が終わるとセンサーからピクセルデータを読み出しますが、露光と読み出しを逐次的に行うか並列的に行なうかの2種類があり、フレームレートを上げるためには後者の方法が有効です。

図4-2-1. 露光と読み出しのシーケンス
また、ウィンドウイングと呼ばれる方法で受光面の一部をのみを読み出すことが可能であり、この方法を用いると撮影範囲は小さくなりますがフレームレートを上げることができます(図4-2-2)。撮影対象となる現象がこのフレームレートで十分がどうかの整合性のチェックも必要です。

図4-2-2. ウィンドウィング
温度較正とNUC
赤外線カメラで温度計測を行なう場合は温度較正データが必要であり、赤外線カメラメーカから供給される較正データを使うことが多いですが、ユーザ自身で行えるようになっている場合もあります。赤外線がセンサーに入射すると、受光面の各画素(ピクセル)はその強度に応じた電圧を出力しますが、ピクセル間で感度バラツキがあるので、NUC (Non-Uniformity Correction) と呼ばれる仕掛けで電気的あるいはソフトウェア的に見かけ上同じ感度になるように補正します。NUCを行なうと全ピクセルは同じ特性を示すようになりますが、これは入射する赤外線強度と出力する電圧との関係を表わす検量線を定めることになり、この検量線から温度に変換をしているのでこの両者は密接な関係があります。
温度較正は、所定の温度に設定された被写体(温度は別の温度センサーで保証されている。)を赤外線カメラで撮り、出力電圧と温度との関係を求めることです。フリアー システムズ社製の赤外線カメラでは、CNUC(Continuous Non-Uniformaity Correction)という機能が付与されており、前述したマルチIT機能にも使われていますが、これは広い温度レンジの検量線からサブ温度レンジ用の検量線を導出するテクニックです。この結果、ユーザは所望の温度あるいは温度範囲をカメラに教えるだけで、最も適正な露光時間による温度計測が自動的に行なえます。この機能は可視カメラでの自動露出機能に対応しています。CNUCの画面を図4-3-1に示します。

図4-3-1. CNUC (Continous Non-Uniformity Correction)
精密な温度計測では特に外乱を考慮する必要がありますが、赤外線カメラにはナルシサスという特有な外乱があります。これはカメラ内部の構造や光学系から放射される赤外線がセンサー表面で反射され、この放射がレンズで逆に反射され画像上に自身の姿が結像する現象です。 光学系でこのナルシサス画像を生成させないようにする工夫もありますが、NUCでこの外乱はキャンセルできます。ただし、ナルシサスの強さはカメラ筐体温度に依存し(温度が高いほど赤外放射は強くなる。)、この影響を考慮したNUC補正を行なうことで精密な温度計測が可能になります。図4-3-2は、フリアー システムズ社製の赤外線カメラで行なっている筐体温度補正です。

図4-3-2. 筐体温度を考慮したNUC
なお、温度の絶対値計測精度については上記の温度較正やNUCが影響しますが、温度分解能という意味では、NETD (Noise Equivalent Temperature Difference) という指標が使われます。これは雑音と等価な温度差であり、数値が小さいほど良好な温度分解能を示します。NETDは光学系、センサー、エレクトロニクスなどが持つ雑音を総合したものですが、平均化やロックインなどのテクニックを用いれば改善が可能です。
フリアー システムズ社赤外線カメラの特徴
最後に、フリアー システムズ社製の小型赤外線カメラモジュールについて紹介をします。写真1は非冷却タイプ(マイクロボロメータ)のQuarkモデルです。コルクの栓と比較すると実感されますが、世界最小レベルのサイズで、このモデルは7.5µm~13.5µmバンドを見ることができます。また、そのほかにも近赤外(0.7µm~1.7µm)を見る小型のタイプ(Tau SWIR)がリリースされています。小型のタイプはビークル搭載用として使われることが多いです。

写真1. フリアー システムズ社製Quark赤外線カメラモジュール
- フリアー システムズ社赤外線カメラ詳細ページは、こちらをご覧下さい
- ONLINE SHOPの赤外線カメラページは、こちらをご覧下さい
おわりに
赤外線カメラによる温度計測について様々な面を見てきましたが、これ以外に電動のレボルバーを用いたマルチスペクトル画像撮影機能や外乱に埋もれた微小な温度変化を抽出するためのロックイン機能など様々な解析テクニックがあります。そうした機能が備わっているかどうかも選択の基準になるケースがあると思われますが、これはまたの機会に説明したいと思います。
編集部注:
本記事は光アライアンス(日本工業出版)2013年10月号掲載の”赤外線カメラの選び方・使い方のポイント (コーンズテクノロジー(株) 物部周平)”を改題し少し書き直したもの です。
この記事の監修者
コーンズテクノロジー編集部
コーンズテクノロジーでは先進的な製品・技術を日本産業界へ紹介する技術専門商社として、通信計測・自動車・防衛セキュリティ・電子機器装置・航空宇宙・産業機械といった技術分野のお役立ち情報を紹介しています。